Bell Canada

Hired as a contract worker for Bell under their Business Markets division as a User Experience Analyst, I assumed the role of Lead Business Analyst and UX Designer on a modernization project with the Government of Alberta. This role was one of my most challenging and gratifying experiences as a designer given the amount of responsibilities and decision-making power I was given. From business requirements to medium fidelity designs and usability testing, I was the visionary behind a complex system involving technical users and stakeholders both internal and external to the business. My time at Bell was unfortunately cut short by the COVID-19 pandemic but the lessons learned on this project will stay with me for the rest of my career. 

Service procurement between Bell and the Government of Alberta once consisted of exchanging Microsoft Excel spreadsheet forms between technicians on both sides of the business. These forms included all the data and metadata required to instantiate, update, or retire Bell services and Government of Alberta buildings (schools, provincial offices, hospitals, etc.). The AS-IS system saw these forms manually ingested by the business, relying on Bell subject matter experts to create and monitor service requests for implementation. Meanwhile, the monitoring tools for these services occurred on a dashboard web portal operated by Bell. The TO-BE system would see the procurement process integrated with the existing monitoring tools to form the basis of a new self-serve portal. 

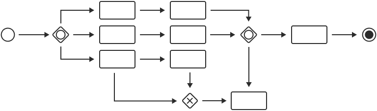
My undergraduate degree in Industrial (Systems) Engineering coupled with my Professional Experience Year (PEY) as a Business Analyst for Environment and Climate Change Canada armed me with the experience and expertise to approach the requirement-gathering process for the TO-BE system. I started by modeling the entity relationships inherent to the data and metadata of the spreadsheet forms while also diagramming using Business Process Modelling Notation (BPMN), how these forms moved through the business. I augmented this work with discussions with the Government of Alberta and Bell technicians and subject matter experts who had experience completing and ingesting these forms respectively. 

A BPMN Diagram similar to the ones made during my time at Bell to model how different change requests move through the business toward implementation

After about a month, I had delivered a comprehensive set of business requirements and user stories focused on lessening the amount of data entry required of users. Using unique identifiers, the TO-BE system would automatically populate as many metadata fields as possible while allowing users access to existing data when changes to a service are requested. The design of the TO-BE user experience was modeled after an e-commerce checkout flow. The spreadsheet data was divided into two categories; location metadata and service data. Together with a confirmation screen, there were 3 steps in total along with a home page that allowed users to view all existing, retired, and pending Bell services. Users were relieved of the data entry required when adding a new service at an existing location using a duplication feature set to spawn new services similar to existing ones.

Bell web form showcasing the checkout model stepper. 

The design process for this project leveraged Bell’s existing design system and component library, an effort that did not allow for the creation of any unique components for the Government’s portal. This was a valuable experience as a designer. The ability to work with a robust design system in Figma that enabled the simple drag-and-drop of accessible components to create functional webpages was incredibly efficient, allowing me more time to focus on understanding our user base, crafting different layouts for A/B and usability testing (using InVision and Axure RP), and working with the development team to clarify the business requirements. 

Tools

  • Figma

  • Invision

  • Axure RP

Skills

  • ER Diagramming

  • Business Process Diagramming

  • Requirements gathering and elicitation

  • Requirements prioritization

  • User interviews

  • User story writing

  • User-centered design

  • Task analysis

  • User flow analysis

Previous
Previous

RewardOps

Next
Next

EVNTL